CẢI THIỆN CHẤT LƯỢNG DINH DƯỠNG VỚI ‘THỬ THÁCH 800G’
Một trong số những ‘quick hack’ về dinh dưỡng hiếm hoi thực sự có ích và được ủng hộ bởi khoa học
Đây là phân tích của The Thinking Trainer về trào lưu này, dựa trên những nội dung giáo dục được cung cấp miễn phí (rất dồi dào và có giá trị) bởi EC Synkowski trên các nền tảng truyền thông khác nhau (Instagram, Podcast)
❓’Thử thách 800g’ là gì?
‘Thử thách 800g’ (800g Challenge), được sáng lập bởi Eva Claire (EC) Synkowski, là một trào lưu khuyến khích cải thiện chất lượng của chế độ ăn thông qua tăng cường lượng rau củ quả trong bữa ăn hàng ngày. Hiểu ngắn gọn, với thử thách này, bạn sẽ tự đặt cho mình mục tiêu là một ngày tiêu thụ tổng lượng rau củ quả (tính theo khối lượng) là 800g, bất cứ loại nào bạn thích. Chi tiết nội dung của ‘thử thách’ này sẽ được thảo luận ở dưới.
Nguồn gốc của ‘Thử thách 800g’
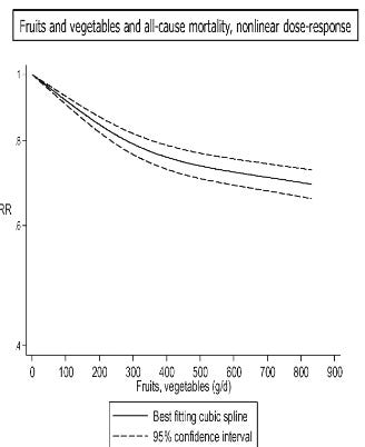
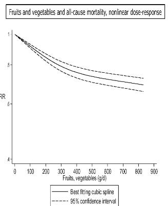
Thử thách này lấy cảm hứng từ phát hiện của nghiên cứu phân tích tổng hợp (meta-analysis) công bố vào năm 2017 bởi “Aune và đồng nghiệp”. Dựa trên dữ kiện từ 24 nghiên cứu với gần 2 triệu người tham gia, nhóm nghiên cứu phát hiện, tăng lượng rau củ quả trong bữa ăn hàng ngày có xu hướng tỉ lệ thuận với giảm nguy cơ tử vong bởi mọi lí do (all-cause mortality), với lợi ích lớn nhất được ghi nhận ở mức 800g/ngày.

Mặt khác, ứng dụng trực tiếp phát hiện trên vào thực tế phát sinh một số thách thức nhất định, đến từ sự khác biệt giữa nghiên cứu khoa học và thực tế. Con số “800g” là một (trong số nhiều) kết quả được ghi nhận bởi nghiên cứu, bản thân nó không nhằm đưa ra khuyến cáo hay chỉ định cho một chế độ ăn cụ thể. Khi áp dụng vào bữa ăn hàng ngày, nhiều vấn đề phát sinh như: thứ gì được tính là ‘rau củ quả’, hình thức như thế nào (tươi sống, đóng hộp, v.v.), ăn 800g dưa hấu có được không; ứng dụng thử thách này cho các mục tiêu như cải thiện hình thể, hỗ trợ tập luyện như thế nào; làm sao để tạo ra thay đổi bền vững trong thói quen ăn uống…
EC bắt gặp những câu hỏi trên trong quá trình tự thử nghiệm trên bản thân trong 6 tháng, và dựa vào trải nghiệm này, cô phát triển một hệ thống tư duy toàn diện về dinh dưỡng với mục đích giáo dục mọi người về cách ứng dụng dinh dưỡng thực tiễn và khoa học cho mục tiêu sức khỏe và thể chất, với “Thử thách 800g” là một phần quan trọng trong đó.
Tổng quan ‘Thử thách 800g’
Bản chất
Mục đích của ‘Thử thách 800g’ là cung cấp một giải pháp thuận tiện để mọi người ăn nhiều hơn những thực phẩm lành mạnh trong chế độ ăn.
Điều này xuất phát từ thực tế là, hiện tượng béo phì và các loại bệnh liên quan đến chuyển hóa, tim mạch đang có xu hướng gia tăng trong cuộc sống công nghiệp hiện đại. Một lí do chính dẫn đến điều này là sự thay đổi của môi trường ăn uống: những thực phẩm giàu năng lượng, đã trải qua tinh luyện (ultra-processed food) có thể được tiếp cận dễ dàng với giá thành rẻ; trong khi đó, lượng rau củ quả trong chế độ ăn hàng ngày có xu hướng giảm đi. Điều này (bên cạnh những nguyên nhân khác) khiến chế độ ăn hàng ngày giảm sút về chất lượng, trong khi tăng lên về năng lượng và thúc đẩy tăng cân ngoài ý muốn theo thời gian. Bằng cách “bổ sung” lượng rau củ quả hàng ngày (thay vì “loại bỏ” những thực phẩm khác), “Thử thách 800g” là bước đầu tiên trong quá trình thay đổi thói quen dinh dưỡng và chất lượng của chế độ ăn.
🔗Để dễ hình dung, khi ăn uống thỏa thích, một người khi ăn một chế độ ăn chỉ gồm thực phẩm đã tinh luyện trung bình nạp vào nhiều hơn ~ 500 Calo/ngày so với một chế độ ăn chỉ gồm thực phẩm chưa trải qua/ít được chế biến hơn. Nghiên cứu này được thảo luận trong Tập San Tháng 07/2022.
“Thử thách 800g” KHÔNG phải là những thứ sau:
Không nhằm giúp bạn giảm cân, nhưng có thể giúp bạn giảm cân. 800g rau củ quả giúp bạn cảm thấy no và thỏa mãn hơn với lượng Calo khá thấp (so với lượng ăn) trong khi đồng thời cung cấp nhiều chất dinh dưỡng khác. Khi vấn đề chất lượng (lựa chọn thực phẩm) được cải thiện, vấn đề về số lượng (lượng Calo) cũng có xu hướng tự động thay đổi theo.
Không chỉ dừng sau 30 ngày. Đây là một ‘thử thách’, nhưng đóng vai trò ‘dẫn dắt’ bạn tiếp thu thói quen ăn uống lành mạnh hơn.
Không cung cấp những quy định, luật lệ cụ thể. Những quy tắc của “Thử thách 800g” có tính mở, linh hoạt, nhằm đáp ứng thực tế trong sinh hoạt hàng ngày, khi mà lựa chọn thực tế của bạn có thể thay đổi theo ngày (vd: có ngày sẽ ăn nhiều hoa quả hơn, trong khi có ngày sẽ ăn nhiều rau xanh hơn).
Cách thực hiện
Các đặc điểm chính của thử thách này có thể được gói gọn như sau:
Ăn 800g rau củ quả hàng ngày. Bạn có thể lựa chọn bất cứ loại rau củ quả nào theo sở thích.
Lựa chọn thực phẩm: Rau củ quả, không phải chế phẩm từ rau củ quả; có thể bao gồm cả các loại đỗ (đỗ đen, đỗ đỏ), đậu (đậu Hà Lan, đậu nành Nhật…). Hướng dẫn chi tiết có thể tìm thấy ở đây👇.
Bạn không phải loại trừ bất cứ đồ ăn gì. Bên cạnh 800g rau củ quả, bạn có thể ăn bất cứ thứ gì bạn muốn.
Những câu hỏi thường gặp
❓Vì sao chỉ là một con số “800g”?
800g là con số được ủng hộ bởi bằng chứng khoa học, được ghi nhận khi phân tích một ‘tệp’ dân số khá đa dạng về đặc điểm (tuổi tác, giới tính, cân nặng, v.v.) đến từ nhiều khu vực địa lý khác nhau trên cả 5 châu lục. Vì vậy, tính ứng dụng của nó cho đại chúng khá lớn.
Xét về mặt ‘năng lượng’, 800g rau củ quả chiếm một lượng Calo khá nhỏ so với nhu cầu của nhiều người. Kể cả khi chỉ bao gồm hoa quả (vốn thường bị mang tiếng là chứa nhiều đường), 800g chỉ tương ứng với ~500 - 700 Calo/ngày, trong khi đem lại khối lượng ăn lớn hơn gấp nhiều lần so với một số loại thực phẩm tinh luyện khác (vd: 4-6 lát bánh mỳ trắng).
Mặt khác, bởi môi trường thực phẩm hiện tại khiến việc tiêu thụ dư thừa năng lượng trở nên dễ dàng hơn, 800g giúp mọi người tự động cân bằng lại yếu tố "lượng" (Calo) dễ dàng hơn, thông qua cải thiện cơn đói và cảm giác thỏa mãn khi ăn, từ đó hi vọng thế chỗ những loại thực phẩm đã tinh luyện.
🔗Đây là ví dụ của cách tiếp cận “thêm vào thay vì loại trừ”, hay cách đặt ra mục tiêu mang tính “tiếp thu” (approach goal) thay vì mục tiêu “né tránh” (avoidance goal). Cách thiết lập mục tiêu hiệu quả cho năm mới được thảo luận chi tiết trong Tập San Tháng 01/2023
Mặt khác, mặc dù mục tiêu là 800g rau củ quả theo khối lượng, thử thách này không loại trừ khả năng là ăn nhiều hơn hoặc ít hơn 800g vẫn đem lại lợi ích cho sức khỏe cũng như năng lượng trong chế độ ăn. 800g là một giá trị ‘cột mốc’ ban đầu để mọi người hướng đến, chủ động có ý thức đạt được (yếu tố “thử thách”) nhưng sau khi việc tiêu thụ rau củ quả đã trở thành một thói quen cũng như khi cân nhắc các yếu tố khác trong chế độ ăn và nhu cầu của bản thân, lúc này bạn có thể điều chỉnh tăng lên (vd: 1000g/ngày) hoặc giảm xuống (vd: 400 - 500g/ngày). Điều quan trọng hơn cả cho hiệu quả của một chế độ ăn là tính bền vững.
❓Có cần theo dõi và cân đo hàng ngày?
Điều này không cần thiết, nhưng sẽ có ích.
Theo dõi và cân đo khiến bạn có trách nhiệm hơn với thói quen ăn uống của bản thân. Trong bối cảnh môi trường dinh dưỡng hiện đại thúc đẩy tiêu thụ nhiều thực phẩm tinh luyện (và năng lượng) hơn, không theo dõi có thể khiến bạn ngày càng rời xa mục tiêu tiêu thụ nhiều thực phẩm tươi sống và lành mạnh hơn; bạn sẽ dễ ước tính thừa lượng rau củ quả mình ăn hàng ngày, cũng như ước tính thiếu năng lượng từ thực phẩm tinh luyện hơn.
Bạn không cần phải theo dõi/cân đo hàng ngày; thay vào đó, một khi đã hình thành thói quen ăn rau củ quả, bạn có thể theo dõi định kỳ (vd: thỉnh thoảng cân đo khoảng 1 tuần) để giữ bản thân trung thực.
❓Hạn chế của “Thử thách 800g”?
Hạn chế lớn nhất của thử thách này cũng đến từ ưu điểm lớn nhất của nó: tập trung vào 1 khía cạnh của chế độ ăn.
Trong khi tăng tiêu thụ rau củ quả có thể cải thiện rõ rệt chất lượng (khả năng đáp ứng nhu cầu vitamin và khoáng chất) và gián tiếp tác động đến yếu tố ‘năng lượng’ (Calo) trong chế độ ăn, về bản chất ‘thử thách’ này không yêu cầu kiểm soát Calo của cả chế độ ăn; ăn 800g rau củ quả mỗi ngày cũng khó có thể bù đắp được ảnh hưởng tiêu cực của tăng cân và mỡ thừa do ‘ăn gì cũng được’. Bên cạnh đó, ‘thử thách’ này cũng không giải quyết những yếu tố quan trọng khác của chế độ ăn, như Macro (Protein, Carb, Fat).
Những điều này khiến việc chỉ áp dụng ‘Thử thách 800g’ không thực sự hiệu quả đối với những mục tiêu liên quan đến thể chất (fitness) như cải thiện hình thể, thành tích tập luyện. Như đề cập ở đầu bài viết này, đó không phải là mục đích khi thực hiện ‘thử thách’ này (giúp bạn hình thành nền tảng chất lượng tốt cho chế độ ăn). Để thiết kế một chế độ ăn phục vụ mục tiêu fitness, lúc này chúng ta sẽ cần tính đến 2 yếu tố còn lại.
Ứng dụng ‘Thử thách 800g’ để phục vụ mục tiêu fitness
“Ba trụ cột”
Theo EC Synkowski, một chế độ ăn phục vụ bất cứ mục tiêu nào - sức khỏe hay thể chất - có 3 trụ cột (“pillar”) chính, cũng là 3 bước quan trọng trong quá trình cải thiện một chế độ ăn.
Chất lượng (Quality) - với trung tâm là ‘Thử thách 800g’. Như được đề cập trước đó, chất lượng của chế độ ăn có thể được cải thiện rõ rệt bằng cách tăng lượng rau củ quả tiêu thụ hàng ngày và thay thế những thực phẩm đã tinh luyện.
Protein - hay còn được gọi là Lazy Macros. Đây là điều chỉnh duy nhất về Macro mà EC đưa ra bởi vai trò của nó đối với Cơ bắp (một cơ quan không chỉ quan trọng đối với phát triển thể chất mà còn cả sức khỏe) cũng như góp phần thay thế những thực phẩm đã tinh luyện trong chế độ ăn. Đối với mục tiêu cải thiện hình thể (mục tiêu mà đa số người ăn kiêng hướng đến), tỉ lệ Carb/Fat không thực sự quan trọng.
Năng lượng (Calorie). Đây là yếu tố cuối cùng, ảnh hưởng trực tiếp đến cân nặng - vốn không chỉ quan trọng với hình thể mà cả sức khỏe - cũng như khả năng tập luyện.
Cách tiếp cận này mặc dù có vẻ khác với cách tiếp cân của mô hình ‘kim tự tháp’ dinh dưỡng cho sức mạnh và thể chất (được thảo luận chi tiết trong cuốn Cẩm Nang Dinh Dưỡng của T3), về bản chất nó phản ánh 2 góc độ tiếp cận khác nhau:
“Ba trụ cột” tiếp cận dinh dưỡng từ góc độ sức khỏe, bắt đầu từ việc cải thiện chất lượng chế độ ăn (tăng tiêu thụ rau củ quả, giảm bớt thực phẩm đã tinh luyện) trước khi bắt đầu giới hạn về “lượng” (Calo, Macro).
Trong khi đó, mô hình “Kim tự tháp” tiếp cận dinh dưỡng từ góc độ thứ tự những yếu tố nào có ảnh hưởng lớn nhất tới kết quả về hình thể.
Mặt khác, tính bền vững vẫn là yếu tố quan trọng nhất quyết định hiệu quả của bất cứ phương pháp dinh dưỡng nào. Bạn cần áp dụng được những quy tắc ở trên vào bữa ăn hàng ngày một cách đều đặn để chúng có hiệu quả. Có một nề nếp ăn uống tương đối ổn định sẽ giúp ứng dụng những thay đổi về dinh dưỡng dễ dàng hơn.
Phân chia lượng rau củ quả trên vào ít nhất 3 bữa (tùy vào thói quen sinh hoạt). Tính theo khẩu phần, 800g rau củ quả tương ứng với khoảng 6 cốc đong (1 cup = ~130g, cũng tương ứng với 1 bát ăn cơm, hay tương ứng với kích thước của một bàn tay nắm chặt), trừ những loại rau lá (1 cup = ~25g). Vì thế, bạn có thể hình dung lượng rau củ quả hàng ngày là 6 bát/6 nắm đấm cùng với nhiều rau lá nhất (mà bạn muốn hay có thể)
Tính nhu cầu Protein của bạn hàng ngày (ít nhất 1.6g x cân nặng). Sau đó chia vào ít nhất 3 bữa trong ngày.
Phân bố lượng Calo còn lại vào Carb và/hoặc Fat để đáp ứng đủ nhu cầu năng lượng theo mục tiêu hiện tại và sở thích của bạn. Để biết mình cần nạp bao nhiêu Calo một ngày để duy trì cân nặng hiện tại, hãy dành ra ít nhất 3 tuần theo dõi và cân đo lượng ăn của bạn
⚠️Một điểm cần lưu ý⚠️
Mặc dù với những lợi ích mà nó có thể đem lại, bạn nên tiếp cận ‘Thử thách 800g’ một cách từ từ, từng bước. Một trở ngại bạn có thể gặp phải là gặp phải hiện tượng đầy hơi, chướng bụng khi tăng đột ngột lượng rau củ quả tiêu thụ hàng ngày. Đây là một hiện tượng rất bình thường khi tăng lượng chất xơ trong chế độ ăn lên nhanh chóng (đặc biệt nếu bạn đang ăn rất ít rau củ quả), nhưng cũng có thể tác động không nhỏ đến tâm lý của những ai quan tâm đến hình thể.
Một gợi ý bạn có thể áp dụng là bắt đầu nhỏ (vd: bắt đầu với ~400g/ngày, chia làm hai bữa) và tăng dần lên. Như được đề cập ở trên, con số 800g là một cột mốc để bạn đạt được, nhưng bạn vẫn nên lắng nghe phản hồi của cơ thể, cũng như cân đối với nhu cầu năng lượng để phục vụ mục tiêu hiện tại.
10 Nguyên tắc về dinh dưỡng
Việc áp dụng “ba trụ cột” ở trên nên được kết hợp với 10 nguyên tắc dinh dưỡng mà EC đưa ra. Trên thực tế, đánh giá từ nội dung khóa học Masterclass của cô, các bạn sẽ cần nắm được 10 nguyên tắc này trước khi tiếp cận “ba trụ cột”. Theo quan điểm của T3, những nguyên tắc này có thể coi là ‘kim chỉ nam’ cho bạn, dù là áp dụng cho bản thân hay khi giúp đỡ học viên, khi tiếp cận chủ đề dinh dưỡng hiện tại.
Năng lượng quyết định cân nặng
Macro quyết định hình thể
Giờ ăn chỉ quan trọng khi mà nó ảnh hưởng đến năng lượng.
Chất lượng thực phẩm (quyết định bởi mật độ chất dinh dưỡng vi lượng) quyết định sức khỏe
Câu trả lời không bao giờ chỉ là một thứ duy nhất
Mọi chế độ ăn đều kiểm soát năng lượng với mức độ chính xác khác nhau
Sự bền vững là điều quan trọng nhất với mọi chế độ ăn
Thực phẩm đã qua tinh luyện là vấn đề của mọi chế độ ăn
Không ai có thể xác minh chế độ ăn của bạn (ngoài bạn)
Cố gắng đạt sự hoàn hảo luôn đem lại lợi ích giảm dần.






