LIỆU LÚC NÀO “THẤT BẠI” CŨNG SẼ TỐT HƠN CHO PHÁT TRIỂN CƠ BẮP?
Một nghiên cứu mới công bố cung cấp thêm một mảnh ghép cho cuộc tranh luận nóng bỏng này.
TLDR:
Thông qua một thí nghiệm trên những người tập giàu kinh nghiệm, với chương trình tập chỉ tập Đùi trước 2x/tuần, chỉ với hai bài tập Leg Press với mức tạ 8-10RM và Leg Extension với mức tạ 10-12RM, tập đến thất bại hay cách ngưỡng thất bại (1-2RIR), một nghiên cứu mới công bố cho thấy khả năng rằng tập cách ngưỡng thất bại có thể đem lại kết quả phát triển cơ bắp tương đương với tập đến thất bại, nhưng cũng hé lộ những ảnh hưởng tiềm tàng của mệt mỏi và thứ tự thực hiện bài tập đến phát triển cơ bắp.
Mặt khác, do phạm vi hạn chế của nghiên cứu, chúng ta vẫn cần thận trọng khi suy diễn phát hiện trên cho những tình huống khác (vd: các nhóm cơ khác, với các bài tập khác, v.v.).
Đây là thông tin được rút ra nhiều nhất từ phát hiện của một nghiên cứu mới được công bố, so sánh ảnh hưởng của việc “tập đến thất bại” so với tập “cách ngưỡng thất bại” 1-2 Reps (1-2 RIR) đến thay đổi kích thước nhóm cơ Đùi trước.
Nghiên cứu này liên quan đến cuộc thảo luận (và tranh luận) rộng hơn về “tập luyện đến thất bại” và phát triển cơ bắp (trước đó T3 đã thảo luận tại đây). Vậy nghiên cứu này ghi nhận điều gì, và có đem lại thông tin gì mới hay không?
Nội dung nghiên cứu
Nội dung của nghiên cứu được tóm tắt khá cụ thể và súc tích bởi Mark Refalo, tác giả đứng tên đầu của nghiên cứu (ngoài ra còn có sự đóng góp của Eric Helms, Zac Robinson, và các tác giả khác), trên trang IG của mình.
Nghiên cứu này có những điểm chính sau:
18 người có trình độ tập luyện cao (trung bình ~7 năm, 50% số này từng tham gia thi đấu về Sức mạnh và hình thể) tham gia vào thí nghiệm, trong đó một chân của họ được chỉ định ngẫu nhiên thực hiện một chương trình tập đến thất bại (FAIL) hoặc đến khi chỉ còn thực hiện được 1-2 Reps hay 1-2 RIR (RIR). Nói cách khác, một chân FAIL, một chân RIR.
Chương trình tập luyện được sử dụng khá đặc biệt, khác các chương trình tập thường được áp dụng trong thí nghiệm.
Hai bài tập được sử dụng là Leg Press (mức tạ 8-10RM) và Leg Extension (10-12RM); người tham gia sẽ thực hiện từng bên và theo chỉ định (FAIL hoặc RIR).
Volume (số Set): nhóm nghiên cứu chủ động không chỉ định Volume bằng nhau, mà dựa trên Volume Đùi trước mà người đó đang áp dụng, chia đều cho 2 bài tập (vd: 10 Sets → 5 Sets Leg Press, 5 Sets Leg Extension). Tuy nhiên nếu Volume được chỉ định ≥ 15 Sets/tuần, mức Volume ban đầu (tuần 1) sẽ được giảm đi 20% để tránh nguy cơ chấn thương. Vào tuần 5 (giữa thí nghiệm), Set Volume được tăng thêm 20%.
Nếu như bằng một lí do nào đó người tập không thể thực hiện 1 trong 2 bài tập, người đó sẽ thực hiện tất cả số Sets được chỉ định với bài tập còn lại. VD: nếu Volume được chỉ định là 10 Sets mà chỉ thực hiện được Leg Extension ⇒ 10 Sets Leg Extension đến thất bại (FAIL); hoặc 5 Sets với 2 RIR và 5 Sets với 1 RIR (RIR)
Tần suất: 2 buổi/tuần, trung bình cách nhau 72 tiếng (dao động trong khoảng 48 - 96 tiếng).
Về dinh dưỡng, những người tham gia được chỉ định chế độ ăn cung cấp đủ năng lượng để tăng 1% BW/tháng (tức thặng dư năng lượng), được theo dõi qua ứng dụng (Macro Factor).
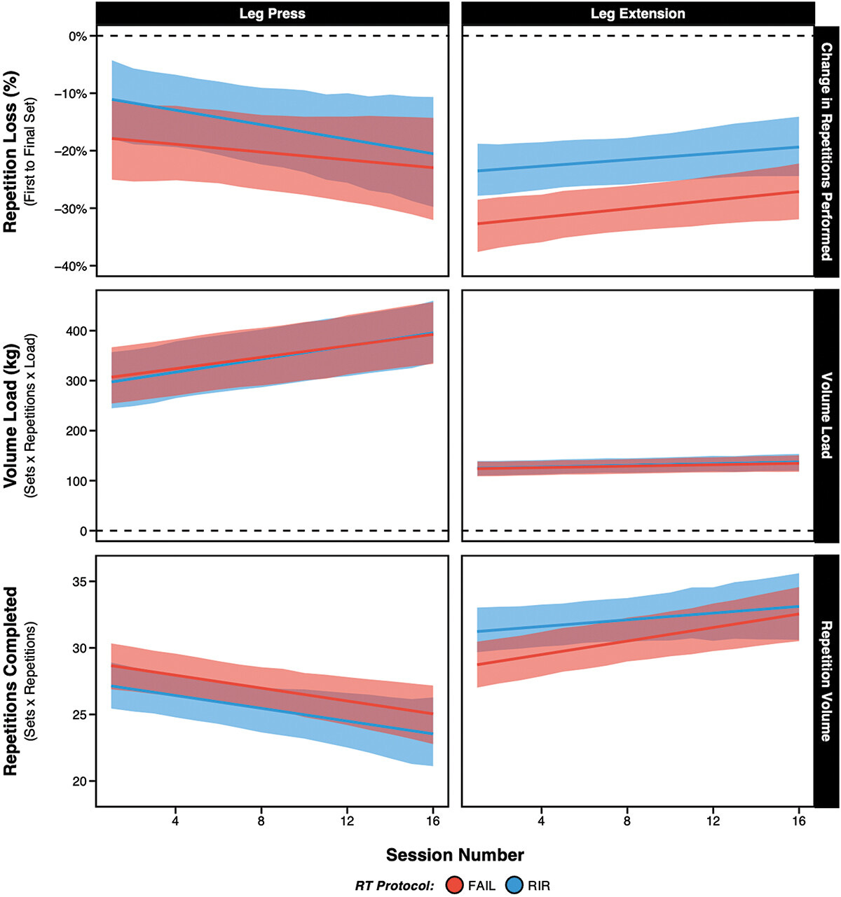
Các kết quả chính được theo dõi bao gồm: thay đổi về Volume (số Reps, Volume Load); thay đổi kích thước Đùi trước - nhóm cơ Thẳng Đùi (Rectus Femoris [RF]) và Rộng Đùi ngoài (Vastus Lateralis [VL].
Phát hiện
Nhóm nghiên cứu ghi nhận những phát hiện chính sau:
Volume:
Số Sets được những người tham gia thực hiện trung bình rơi vào khoảng 10 - 17 Sets; mặt khác giữa nam giới và nữ giới có sự khác biệt khá rõ rệt, với nam giới thực hiện trung bình 10 - 14 Sets/tuần và nữ giới 12 - 17 Sets/tuần (số Sets sau khi tăng thêm 20%).
Mặc dù không được quân bình, cả hai điều ghi nhận được Volume khá tương đồng - về số Reps thực hiện được (FAIL > RIR một chút ở Leg Press, nhưng RIR > FAIL một chút ở Leg Extension) và Volume Load (FAIL = RIR).
Trong quá trình diễn ra thí nghiệm (qua các buổi tập), hiện tượng sụt giảm thành tích Reps ở Set cuối so với Set 1 có xu hướng tăng dần ở bài Leg Press (thành tích tại Set cuối sụt giảm nhiều hơn so với Set 1) trong khi giảm dần ở bài Leg Extension (thành tích Set cuối sụt giảm ít hơn so với Set 1). RIR có xu hướng ít bị sụt giảm hơn so với FAIL
Hiện tượng tương tự cũng được ghi nhận với sụt giảm vận tốc chuyển động (Set 1 vs Set cuối), với FAIL sụt giảm nhiều hơn so với RIR.
Thay đổi kích thước Đùi trước (RF, VL):
Về tổng kích thước, cả FAIL lẫn RIR đều dẫn đến thay đổi (% so với ban đầu) giống nhau.
Mặt khác, FAIL có xu hướng khiến VL phát triển tốt hơn một chút, trong khi RIR có xu hướng khiến RF phát triển tốt hơn.
❓Những phát hiện trên cho biết điều gì?
Nhóm nghiên cứu khá chu đáo khi có bao gồm một infographics chi tiết về ứng dụng thực tiễn của các phát hiện trên.
Dưới đây là những kết luận của T3:
Về hiệu quả phát triển tổng thể cơ bắp
Xét trung bình, tập đến thất bại (0 RIR) hay cách ngưỡng thất bại (1-2 RIR) đều có thể dẫn đến phát triển cơ bắp tương đương nhau. Liên hệ với phát hiện bởi “Robinson và đồng nghiệp” rằng hiệu quả phát triển cơ bắp tăng lên đáng kể khi Set tập tiến gần hơn đến ngưỡng thất bại, nó cho thấy rằng không phải lúc nào tập đến thất bại cũng tốt hơn cho phát triển cơ bắp.
Cả hai điều kiện (FAIL và RIR) đều dẫn đến Volume Load (Sets x Reps x mức tạ) tương đồng nhau, mặc dù Set Volume không được kiểm soát,. Chúng ta có thể loại trừ ảnh hưởng của khác biệt giữa các cá nhân, vì chính mỗi cá nhân này tự đóng vai trò Đối chứng trong thí nghiệm (một chân FAIL và chân còn lại RIR, thay vì chia thành một nhóm FAIL, một nhóm RIR).
Ứng dụng thực tiễn:
Tập đến thất bại hay cách ngưỡng thất bại một chút (1 - 2 RIR) có thể đem lại hiệu quả phát triển cơ bắp như nhau với Volume Load tương đồng.
Người tập có lựa chọn giữa hai phương án này để phù hợp với mục tiêu (phổ thông, phục vụ thể thao, hay thể hình), trình độ tập luyện và các yếu tố khác trong chương trình tập (như số Set, bài tập được lựa chọn, v.v).
Về ảnh hưởng của thứ tự thực hiện bài tập
Mặt khác, thứ tự thực hiện bài tập có thể ảnh hưởng đến hiệu ứng của cường độ tập luyện (FAIL, RIR) đối với thay đổi của các nhóm cơ khác nhau.
FAIL nhỉnh hơn một chút về phát triển nhóm cơ Rộng đùi ngoài (VL), trong khi RIR nhỉnh hơn một chút về phát triển nhóm cơ Thẳng đùi (RF), chịu ảnh hưởng bởi việc tập Leg Press trước khi tập Leg Extension.
Một cách giải thích cho điều này (đến từ Coach Kassem) đến từ việc, Leg Press chỉ tác động (chủ yếu) vào VL, trong khi Leg Extension tác động cả vào VL và RF.
Ở điều kiện FAIL, đạt thất bại ở Leg Press khiến thành tích của bài Leg Extension sau đó bị sụt giảm ⇒ ↑ kích thích cho VL và ↓ kích thích đến RF.
Ngược lại, ở điều kiện RIR, Leg Press tập xa ngưỡng thất bại hơn khiến thành tích bài Leg Extension tăng lên ⇒ ↑ kích thích cho RF.
Đáng chú ý, vì tổng Volume Load của cả hai điều kiện ngang nhau (FAIL = RIR), thay đổi gộp của hai nhóm cơ này ở cả hai điều kiện vẫn tương đương nhau.
Ứng dụng vào thực tế:
Với bài tập bạn muốn tập trung vào (vd: vì nó tác động vào một vùng cơ cụ thể), bạn nên tập nó gần ngưỡng thất bại hơn/đến ngưỡng thất bại và/hoặc với Volume lớn hơn.
Nếu bài tập muốn ưu tiên vì một lí do nào đó được xếp sau một bài tập khác, bài tập trước đó nên thực hiện cách ngưỡng thất bại hơn và/hoặc với Volume thấp hơn, để có thể tập bài tập sau đó với Volume và/hoặc mức nỗ lực cao hơn.
Nếu như bạn quan tâm đến cả hai bài tập, bạn có thể cân nhắc thay đổi luân phiên thứ tự thực hiện hai bài tập trong các buổi tập khác nhau.
Về Kiểm soát mệt mỏi
Mệt mỏi sẽ là một yếu tố cần chú ý khi cân nhắc tập luyện đến thất bại.
Tập luyện đến thất bại ở bài tập/Set tập trước đó khả năng cao sẽ khiến thành tích của các Set tập/bài tập sau bị ảnh hưởng (phản ánh bởi mức sụt giảm thành tích Reps và vận tốc chuyển động ở Set cuối vs. Set 1). Điều này đáng chú ý khi buổi tập của nghiên cứu chỉ định thời gian nghỉ khá dài (4 phút giữa các Sets chính, 5 phút giữa các bài tập).
Theo Kassem, phát hiện về sụt giảm thành tích ở các Set/bài tập sau cho thấy, lợi ích của việc tập đến thất bại có xu hướng giảm dần khi Volume tăng lên.

Mặt khác, người tập có khả năng thích nghi và chống chịu mệt mỏi tốt hơn theo thời gian, khi đã quen với chương trình tập luyện (phản ánh bởi mức sụt giảm vận tốc chuyển động và số Reps được cải thiện ở bài Leg Extension qua các buổi tập.
Ứng dụng thực tiễn:
Tập luyện đến thất bại sẽ phù hợp hơn khi 1) áp dụng cho các bài tập ở sau hay vào Set cuối của một bài tập, 2) thời gian nghỉ dài hơn giữa các Set, 3) mức Set Volume được thực hiện thấp hơn, 4) mức độ mệt mỏi của người tập thấp, và 5) vào cuối một chu kỳ tập luyện.
Mệt mỏi sẽ là yếu tố cần cân nhắc khi sắp xếp thứ tự thực hiện, Volume, và Cường độ của các bài tập trong buổi tập (xem phần trên👆)
❓Nghiên cứu này không cho biết điều gì?
Với những phát hiện đầy hứa hẹn như trên, chúng ta vẫn cần chú ý đến những câu hỏi mà nghiên cứu này không giải đáp.
Những phát hiện của nghiên cứu trên sẽ đúng nhất khi:
Tập nhóm cơ Đùi trước, với Volume rơi vào khoảng 10 - 17 Sets/tuần chia vào 2 buổi/tuần.
Một buổi tập chỉ với hai bài tập Leg Press và Leg Extension
Mức tạ 8-10RM (Leg Press) và 10-12RM (Leg Extension)
Thời gian nghỉ là 4 phút giữa các Sets chính, và 5 phút giữa các bài tập.
Chế độ ăn cung cấp thặng dư năng lượng
Ngoài những yếu tố trên, vẫn còn khá nhiều câu hỏi mà nghiên cứu này không trực tiếp trả lời. Bài đăng dưới đây bởi Steve Hall chỉ ra một số yếu tố đáng quan tâm (và bình luận của T3)
❓Liệu có áp dụng cho một chương trình tập luyện thực tế?
Khi ứng dụng vào chương trình tập luyện thực tế, chúng ta có thể sẽ cần cân nhắc các yếu tố trong chương trình tập khi quyết định tập đến thất bại hay cách ngưỡng thất bại.
Một buổi tập thực tế sẽ không chỉ có 2 bài, mà thường sẽ có 4 - 6 bài tập. Vì vậy, tập đến thất bại có thể làm giảm hiệu quả của các bài tập khi về cuối buổi tập. Tương tự, trong một buổi tập với Volume (số Sets) lớn, tập luyện đến thất bại cũng có thể khiến các Sets về cuối buổi tập sụt giảm về thành tích tập luyện
❓Liệu có áp dụng cho các nhóm cơ khác?
Khả năng cao là Có.
“Thất bại” trong nghiên cứu trên được định nghĩa là không thể hoàn toàn giai đoạn phát lực (concentric) của chuyển động trong khi vẫn duy trì được kĩ thuật. Có thể điều này sẽ ảnh hưởng đến xác định ngưỡng thất bại ở các bài tập khác.
Ví dụ các bài kéo cho Lưng vốn thường khó nhất ở đoạn co ngắn hoàn toàn. Vì thế nếu như kĩ thuật được chỉ định tập trung vào khoảng cơ bị kéo giãn (vd: kéo khuỷu tay đến mang mặt thay vì xuống hết như khi áp dụng Lengthened Partials), ngưỡng thất bài thực tế của các bài lưng có thể còn xa hơn (vd: 4 RIR) so với khi tập Full ROM (vd: 0-2 RIR).
❓Liệu có áp dụng cho các khoảng Rep khác?
Khả năng là không áp dụng với khoảng Rep cao hơn so với nghiên cứu.
Mức tạ được sử dụng trong nghiên cứu này là 8-12RM (trung bình khoảng 75% - 85% 1RM). Nếu như sử dụng khoảng Rep cao hơn, vd: 15-20RM, khả năng là tập đến thất bại sẽ có ưu thế hơn. Điều này dựa trên phát hiện được ghi nhận trong meta-analysis bởi “Robinson và đồng nghiệp”, rằng hiệu quả phát triển cơ bắp tăng lên đáng kể khi Set tập tiến gần hơn đến ngưỡng thất bại.
Mặt khác, khoảng cách đến thất bại tỏ ra có ảnh hưởng nhỏ hơn khi tập luyện với mức tạ đủ nặng (vd: 90% 1RM (3 - 5 RM)
Điều này có thể giải thích dựa trên nguyên lý Henneman’s Size Principle: mức tạ nặng hơn cho phép kích hoạt các tổ hợp vận động ngưỡng cao (high threshold motor unit) điều khiển các sợi cơ loại II (có tiềm năng phát triển về kích thước cao hơn) ngay từ những Rep đầu tiên, vì vậy có thể kích thích cơ bắp hiệu quả mà không cần đạt ngưỡng thất bại. Nếu sử dụng mức tạ nhẹ hơn, do tổ hợp vận động của cơ bắp được huy động theo thứ tự từ thấp đến cao, người tập sẽ cần với số Rep cao hơn và với nỗ lực cao hơn (gần hơn hoặc đến thất bại) để huy động những tổ hợp vận động ngưỡng cao.
✍️Update 14/03/2024
Mặt khác, nếu chỉ quân bình theo Volume Load (Sets x Reps x Tạ), khả năng cao là tập xa ngưỡng thất bại vẫn sẽ đem lại kết quả phát triển cơ bắp tương đương với gần ngưỡng thất bại. Điều này được ghi nhận bởi một nghiên cứu mới công bố gần đây bởi “Andersen và đồng nghiệp”.
Dựa vào chia sẻ của Menno Henselmans (nghiên cứu khóa đằng sau 💰paywall💰), chúng ta có thể nắm được một số điểm chính về nội dung sau:
Nghiên cứu cũng sử dụng thiết kế thí nghiệm tương tự với “Refalo và đồng nghiệp” (sử dụng từng bên chân), trên một nhóm đối tượng có trình độ tập luyện tương đối cao (~4.5 năm). Mặt khác, chương trình tập trong nghiên cứu này chỉ sử dụng Leg Extension, thay vì Leg Press (có lẽ là một ưu điểm nhằm loại trừ ảnh hưởng của thứ tự sắp xếp bài tập);
Khoảng cách tới thất bại được đánh giá thông qua % sụt giảm tốc độ chuyển động (%VL), với 1 chân tập đến 30%VL (gần thất bại), và 1 chân khác tập đến (15% VL).
Chân tập 30% VL tập lên đến 14 Reps/Set; trong khi đó chân 15% VL chỉ thực hiện trung bình 7 Reps/Set nhưng thực hiện gấp đôi số Sets. Mặt khác, rất có thể trên thực tế cả hai điều kiện (30% VL và 15%VL) vẫn còn cách rất xa ngưỡng thất bại. Trong nghiên cứu này, mức thất bại được ghi nhận ở bài tập Squat được ghi nhận cùng với mức %VL trung bình khoảng 74% ở mức tạ 70% 1RM; phép so sánh này tất nhiên không hoàn hảo nhưng có thể được tham khảo để đánh giá cường độ trong nghiên cứu hiện tại. Vì vậy, khả năng cao là mức tạ được sử dụng trong nghiên cứu hiện tại có thể chỉ ở khoảng 60 - 65%1RM, hoặc thấp hơn.
Nói cách khác, trong nghiên cứu của “Andersen”, nhóm tập xa thất bại hơn vẫn đạt được kết quả phát triển cơ bắp tương đương nếu như bù đắp cường độ thấp hơn này bằng cách tập với số Sets nhiều hơn để bằng Volume Load.
Quan sát này khá giống với những quan sát được ghi nhận ở một mảng nghiên cứu liên quan là “rút ngắn thời gian nghỉ” và “Drop Sets” (đã được T3 thảo luận trước đó tại đây).
Bên cạnh đó, phát hiện của “Andersen” tỏ ra củng cố phát hiện rằng, Volume là một yếu tố có thể quân bình lại ảnh hưởng của “khoảng cách đến ngưỡng thất bại”.
Mặt khác, liên hệ với phát hiện của “Refalo”, chúng ta cũng có thể rút ra được tương tác giữa mức Tạ, Volume và khoảng cách đến ngưỡng thất bại. Theo đó, khi mức tạ đủ nặng (vd: 8-12RM hay từ 75%1RM trở lên), ảnh hưởng của việc tập đến thất bại và tập cách ngưỡng thất bại 1-2 Reps sẽ không chênh lệch rõ rệt. Mặt khác, khi tập với mức Tạ nhẹ hơn, khoảng cách tới ngưỡng thất bại sẽ có ảnh hưởng lớn hơn, theo chiều hướng càng gần thất bại sẽ càng có hiệu quả phát triển cơ bắp lớn hơn, nhưng có thể được cân bằng lại khi tập với mức Volume (cụ thể là Volume Load) lớn hơn.
❓Liệu có áp dụng với các bài tập khác?
Bài tập được lựa chọn có thể phù hợp hơn với tập cách ngưỡng thất bại hay đến ngưỡng thất bại.
Các bài tập Đa khớp với tạ truyền thống (vd: Squat, Deadlift) có thể sẽ phù hợp hơn với mức Tạ nặng và khoảng Rep thấp hơn, và cách ngưỡng thất bại, do những cân nhắc về an toàn, và mức Tạ sử dụng khi đủ lớn cũng không đòi hỏi phải đạt thất bại để đem lại kích thích hiệu quả.
Các bài tập Đơn khớp và/hoặc với tập với máy có thể sẽ phù hợp để tập đến thất bại hơn, do có tính ổn định cao hơn (an toàn hơn), giúp người tập có thể tập trung hơn vào nỗ lực tối đa trong từng Rep.
❓Liệu có áp dụng khi thâm hụt năng lượng?
Khả năng cao là có.
Cân nhắc này sẽ xoay quanh hiệu quả bảo toàn cơ bắp trong trạng thái thâm hụt năng lượng (khi giảm mỡ). Dựa vào phát hiện của nghiên cứu trên, tập đến hoặc cách ngưỡng thất bại cũng đều hiệu quả trong việc giúp người tập giữ cơ.
Mặt khác, mệt mỏi do tập luyện có thể tích lũy cùng với áp lực từ quá trình ăn kiêng. Vì thế, tập cách ngưỡng thất bại có thể có ích hơn bởi nó gây ít mệt mỏi hơn.
Ở trên chỉ là một số ví dụ về những cân nhắc mà nghiên cứu trên không trực tiếp trả lời mà chúng ta có thể suy luận từ kết quả được ghi nhận. Chúng ta vẫn sẽ cần thêm những bằng chứng khác để có thể đưa ra những kết luận chắc chắn hơn.
Ứng dụng vào thực tiễn
✍️Update 14/03/2024
Tóm lại, “khoảng cách đến thất bại” chỉ là một yếu tố chúng ta cần cân nhắc khi thiết kế một chương trình tập, bên cạnh những yếu tố khác như mức Volume, mức Tạ - khoảng Rep, lựa chọn bài tập, v.v. “Tập đến thất bại” hay “cách ngưỡng thất bại” có ưu điểm và hạn chế riêng, và sẽ phát huy hiệu quả lớn nhất trong những tình huống cụ thể.
Bạn ứng dụng những gợi ý đơn giản sau:
Tập gần hoặc đến thất bại khi:
sử dụng ít bài tập
Volume thấp
mức Tạ tương đối nhẹ
bài tập đơn khớp hoặc có tính ổn định cao
thời gian nghỉ dài
Tập cách xa ngưỡng thất bại hơn khi:
tập nhiều bài
mức Tạ lớn
Volume cao
bài tập Đa khớp hoặc đòi hỏi kĩ thuật phức tạp
thời gian nghỉ ngắn
Mark Refalo chia sẻ những quan điểm sau khi thảo luận về nghiên cứu của mình:
Trên lý thuyết, nghiên cứu đem lại một tập hợp những phát hiện, nhưng khi áp dụng chúng vào thực tiễn có thể chịu ảnh hưởng bởi các yếu tố khác nhau.
Khoa học không chỉ là đọc và sao chép kết luận của nghiên cứu, mà hướng đến gọt dũa và hoàn chỉnh hiểu biết của bản thân về một vấn đề thông qua tư duy logic. Khoa học có thể giúp cải thiện hiểu biết về một chủ đề, nhưng người đọc cũng cần hiểu sự khác biệt giữa nghiên cứu và thực tiễn. Một quan điểm hoàn toàn có thể có cơ sở khoa học nhưng không hề có tính khoa học.
Một HLV có trình độ sẽ tự xây dựng cho bản thân một bộ nguyên tắc để dựa vào khi đưa ra quyết định trong thực tiễn. Bộ nguyên tắc này là cầu nối giữa khoa học và thực tiễn, được xây dựng dựa trên kinh nghiệm thực tiễn, nhưng được hoàn chỉnh bằng cách đối chiếu với và tham khảo bằng chứng khoa học. Dựa vào những nguyên tắc này, HLV đưa ra những giải pháp thực tiễn phù hợp cho những tình huống cá biệt liên quan đến học viên.















Bài viết rất hay chúng ta nên có cái nhìn đa chiều khi áp dụng thực tiễn chứ k phải cứ gì tập tới fail là tốt 👍👍👍 mà nên phối hợp hài hoà giữa RIR và Fail để đạt mục tiêu và xây dựng buổi tập thông minh nhất